Ultrafast Laser Pulse Characterization

Amplitude and Phase Characterization of Ultrashort Laser Pulses

As a consequence of the time-bandwidth uncertainty principle, ultrashort laser pulses carry significant bandwidth. If the spectral components that fall under the bandwidth of the laser pulse are time coincident (figure 1), the pulse is said to be at its transform limit. A transform-limited pulse implies that the pulse duration is minimized.
The temporal relationship between selected Fourier components of a transform-limited pulse
Figure 1. The temporal relationship between selected Fourier components of a transform-limited pulse.
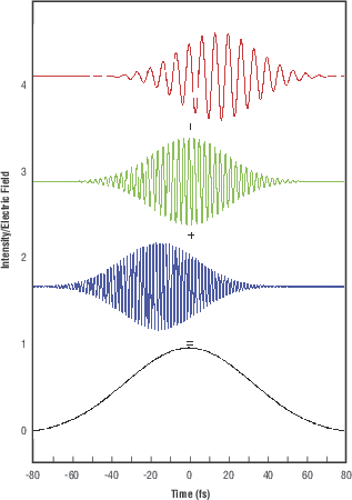
Material properties such as dispersion alter the (phase) relationship between the spectral components of light, effectively separating the blue and red components of the pulse in time (figure 2). This effect is known as chirp, and for an ultrashort pulse, serves to elongate the pulse in time. Although autocorrelation can measure the duration of an ultrashort pulse, it is unable to characterize the phase relationship between different spectral components. The primary reason for this is that autocorrelators utilizes a single element photodetector that effectively integrates over the spectral profile of the pulse.
The temporal relationship between selected Fourier components of a positively chirped pulse
Figure 2. The temporal relationship between selected Fourier components of a positively chirped pulse.

FROG Ultrashort Pulse Characterization

Fortunately, techniques exist that monitor the spectral profile of a pulse as a function of time. These techniques allow for the complete reconstruction of the electric field. Of these techniques, Frequency-Resolved Optical Gating (FROG) is arguably the most straightforward and easiest to implement. As mentioned above, FROG allows for full phase retrieval of the input field without the ambiguity associated with autocorrelation.

Self-diffraction FROG (SD FROG) geometries are for amplified systems. The SD FROG trace gives an intuitive picture of the pulse (i.e. the direction of time is preserved), which is a highly desirable feature for real-time laser alignment. Moreover, the geometry is identical to the Long Scan Autocorrelator where the nonlinear medium is a thin piece of glass (<200 µm), thus making this geometry cost effective and straightforward to implement. On the downside, SD FROG requires relatively high peak powers not readily available from most ultrafast oscillators.

Diagram of a self-diffraction FROG geometry
Figure 3. Diagram of a self-diffraction FROG geometry.
Second harmonic FROG (SHG FROG) geometries are the only real option for ultrafast oscillators. An SHG FROG is simply a spectrally resolved autocorrelator. Although the sign of the spectral phase is lost in the measurement, efficient algorithms exist which can deduce the order and magnitude of the spectral phase where the sign can be determined if need by performing additional measurements.
Diagram of a self-diffraction FROG geometry
Figure 4. Diagram of a Second Harmonic FROG geometry.

Long Scan Autocorrelation

An autocorrelator is a versatile, easy-to-use diagnostic tool for measuring the pulse shape and duration of ultrafast laser pulses. Autocorrelators are capable of measuring pulse widths from both high repetition rate (MHz) oscillators and low repetition rate (kHz) amplifiers in the visible and IR wavelength range. When phase information of the pulse is not required, autocorrelation is the simplest and most affordable method for determining pulse width.
Long scan autocorrelation data collected on a Spectra-Physics Spitfire® Pro amplifier. Contrast ratio better than 7000:1 is demonstrated
Figure 5. Long scan autocorrelation data collected on a Spectra-Physics Spitfire® Pro amplifier. Contrast ratio better than 7000:1 is demonstrated.

Products for Ultrashort Laser Pulse Characterization


MKS Semiconductor Handbook Cover

For additional insights into photonics topics like this, download our free MKS Instruments Handbook: Principles & Applications in Photonics Technologies

Request a Handbook