Fundamentals of Vibration
Vibration and vibration isolation are both intimately connected with the phenomenon of resonance and simple harmonic motion.
Simple Harmonic Motion
External force, either from a one-time impulse or from a periodic force such as vibration, will cause the system to resonate as the spring alternately stores and imparts energy to the moving mass. A simple example of harmonic motion is a mass connected to a flexible cantilevered beam. Figure 1 below illustrates a simple mass on a cantilevered beam resonating under the influence of an external force.
Natural Frequency
The natural frequency, as the name implies, is the frequency at which the system resonates. In the example of the mass and beam, the natural frequency is determined by two factors: the amount of mass, and the stiffness of the beam, which acts as a spring. A lower mass and/or a stiffer beam increase the natural frequency (see figure 2).
A higher mass and/or a softer beam lower the natural frequency (see figure 3).
Another simple example of natural frequency is a tuning fork, which is designed to vibrate at a particular natural frequency. For example, a tuning fork for the musical note “A” vibrates at a frequency of 440 Hz. Just as the natural frequency of the cantilevered beam can be changed with a different spring rate or a change in the mass, the natural frequency of the tuning fork can be altered by adding or reducing mass of the two tines and/or by making the tines longer or shorter.
Damping
In the cantilevered beam and tuning fork models, we considered undamped systems in which there is no mechanism to dissipate mechanical energy. Without damping, these systems will vibrate for quite a long period of time — at least several seconds — before coming to rest.
Damping dissipates mechanical energy from the system and attenuates vibrations more quickly. For example, when the tuning fork’s tips are immersed in water, the vibrations are almost instantly attenuated. Similarly, when a finger touches the resonating mass-beam system lightly, this damping action also rapidly dissipates the vibrational energy.
Model I: The Simple Harmonic Oscillator
The Simple Harmonic Oscillator consists of a rigid mass M connected to an ideal linear spring as shown in Figure 4.
The spring has a static compliance C, such that the change in length of the spring Δx that occurs in response to a force F is: Δx = C F
Note that the compliance C is the inverse of the spring stiffness (denoted by k) such that k = 1/C.
If the spring-mass system is driven by a sinusoidal displacement with frequency ω and peak amplitude |u| it will produce a sinusoidal displacement of the mass M with peak amplitude |x| at the same frequency ω. The steady-state ratio of the amplitude of the mass motion |x| to the spring end motion |u| is called the transmissibility T and is given by:

Where ω0 is the resonant, or natural frequency of the system given by:
Note that the natural frequency of the system, ω0, is determined solely by the mass and the spring compliance. It decreases for a larger mass or a more compliant (softer) spring. The transmissibility, T, of the system is plotted as a function of the ratio ω/ω0 (on a log-log plot in Figure 5.)
The three characteristic features of this system are:
- For ω « ω0, well below the resonance frequency, the transmissibility T = 1 so the motion of the mass is the same as the motion at the other end of the spring.
- For ω ≈ ω0, near resonance, the motion of the spring end is amplified, and the motion of the mass |x| is greater than that of |u|. For an undamped system, the motion of the mass becomes theoretically infinite for ω = ω0.
- For ω » ω0, the resulting displacement |x| decreases in proportion to 1/ω2. In this case, the displacement |u| applied to the system is not transmitted to the mass. In other words, the spring acts as an isolator.
Model II: The Damped Simple Harmonic Oscillator
In the first model, we considered an undamped system in which there is no mechanism to dissipate mechanical energy from the mass-spring system. Damping refers to a mechanism that removes the mechanical energy from the system—very often as heat. A damped Simple Harmonic Oscillator is shown schematically in Figure 6.
A rigidly connected damper is expressed mathematically by adding a damping term proportional to the velocity of the mass and to the differential equation describing the motion. For an external force that results in a displacement amplitude |u| of the end of the spring as in Model I, the transmissibility, T, of the damped system becomes:
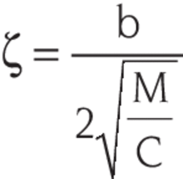
where ζ is a “damping” coefficient given by:
A plot of the transmissibility T is shown in Figure 4 for various values of the damping coefficient ζ. In the limit where ζ approaches zero, the curve becomes exactly the same as in Model I, that is, there is infinite amplification at the resonance frequency ω0. As the damping increases, the amplitude at resonance decreases. However, the “roll-off” at higher frequencies decreases (i.e. the transmissibility declines more slowly as damping increases). For ω/ω0 » 1/ζ, note that the motion of |x| is proportional to 1/ω, as compared to Model I where at high frequencies the motion of |x| decreases as 1/ω2.